| 2002 | 2006 | 2010 | 2014 | 2018 | ||
|---|---|---|---|---|---|---|
| Salario por hora (euros) | 11,95 | 11,14 | 11,39 | 11,17 | 11,3 | |
| Mujer | 0,37 | 0,41 | 0,47 | 0,48 | 0,48 | |
| Edad | ||||||
| <30 años | 0,28 | 0,26 | 0,19 | 0,13 | 0,13 | |
| 30-39 años | 0,32 | 0,33 | 0,34 | 0,33 | 0,26 | |
| 40-49 años | 0,24 | 0,24 | 0,26 | 0,3 | 0,32 | |
| 50-59 años | 0,15 | 0,14 | 0,17 | 0,19 | 0,23 | |
| Más de 60 años | 0,03 | 0,03 | 0,04 | 0,05 | 0,07 | |
| Nivel educativo | ||||||
| Primaria o menos | 0,26 | 0,27 | 0,19 | 0,18 | 0,19 | |
| 1er ciclo Secund. | 0,28 | 0,26 | 0,29 | 0,25 | 0,25 | |
| 2o ciclo Secund. | 0,18 | 0,18 | 0,21 | 0,23 | 0,2 | |
| Univ. | 0,28 | 0,29 | 0,32 | 0,34 | 0,35 | |
| Antigüedad en la empresa | ||||||
| < de 1 año | 0,15 | 0,15 | 0,09 | 0,09 | 0,12 | |
| 1-3 años | 0,36 | 0,39 | 0,32 | 0,26 | 0,28 | |
| 4-7 años | 0,16 | 0,18 | 0,22 | 0,19 | 0,14 | |
| Más de 7 años | 0,33 | 0,29 | 0,37 | 0,45 | 0,45 | |
| Tamaño empresa | ||||||
| <10 trab. | 0 | 0,26 | 0,28 | 0,26 | 0,24 | |
| 10-49 trab. | 0,43 | 0,29 | 0,26 | 0,25 | 0,26 | |
| 50-199 trab. | 0,25 | 0,19 | 0,18 | 0,19 | 0,19 | |
| 200 y más | 0,32 | 0,26 | 0,28 | 0,3 | 0,31 | |
| Tipo de contrato | ||||||
| Indefinido | 0,73 | 0,71 | 0,78 | 0,79 | 0,78 | |
| Tipo de jornada | ||||||
| Completa | 0,89 | 0,83 | 0,78 | 0,75 | 0,75 | |
| No. observaciones | 186,744 | 230,001 | 171,421 | 199,348 | 206,537 | |
| Modelo simple | Modelo extendido | |||||||||||
|---|---|---|---|---|---|---|---|---|---|---|---|---|
| 2002 | 2006 | 2010 | 2014 | 2018 | 2002 | 2006 | 2010 | 2014 | 2018 | |||
| Mujer | -0.218*** | -0.202*** | -0.179*** | -0.171*** | -0.176*** | -0.187*** | -0.170*** | -0.149*** | -0.127*** | -0.133*** | ||
| (0.003) | (0.004) | (0.003) | (0.003) | (0.003) | (0.003) | (0.004) | (0.004) | (0.003) | (0.004) | |||
| Edad | 0.024*** | 0.016*** | 0.009*** | 0.013*** | 0.010*** | 0.018*** | 0.010*** | 0.004*** | 0.009*** | 0.006*** | ||
| (0.001) | (0.001) | (0.001) | (0.001) | (0.001) | (0.001) | (0.001) | (0.001) | (0.001) | (0.001) | |||
| Edad al cuadrado | -0.000*** | -0.000*** | -0.000 | -0.000*** | -0.000*** | -0.000*** | -0.000*** | 0.000 | -0.000 | -0.000 | ||
| (0.000) | (0.000) | (0.000) | (0.000) | (0.000) | (0.000) | (0.000) | (0.000) | (0.000) | (0.000) | |||
| Nivel educativo | ||||||||||||
| 1er ciclo Secundaria | 0.047*** | 0.026*** | 0.039*** | 0.047*** | 0.039*** | 0.010*** | 0.011*** | 0.012*** | 0.012*** | 0.014*** | ||
| (0.004) | (0.004) | (0.005) | (0.005) | (0.005) | (0.004) | (0.004) | (0.004) | (0.004) | (0.005) | |||
| 2o ciclo Secundaria | 0.219*** | 0.175*** | 0.183*** | 0.168*** | 0.154*** | 0.092*** | 0.087*** | 0.091*** | 0.090*** | 0.093*** | ||
| (0.005) | (0.005) | (0.005) | (0.005) | (0.005) | (0.005) | (0.005) | (0.005) | (0.005) | (0.005) | |||
| Universitarios | 0.513*** | 0.447*** | 0.512*** | 0.523*** | 0.504*** | 0.152*** | 0.149*** | 0.155*** | 0.190*** | 0.212*** | ||
| (0.004) | (0.005) | (0.005) | (0.005) | (0.005) | (0.005) | (0.006) | (0.006) | (0.005) | (0.006) | |||
| Antigüedad en la empresa | ||||||||||||
| 1-3 años | 0.062*** | 0.065*** | 0.031*** | 0.042*** | 0.017*** | 0.030*** | 0.037*** | 0.009 | 0.011* | -0.001 | ||
| (0.004) | (0.005) | (0.007) | (0.006) | (0.006) | (0.004) | (0.005) | (0.006) | (0.006) | (0.006) | |||
| 4-7 años | 0.159*** | 0.160*** | 0.092*** | 0.114*** | 0.073*** | 0.089*** | 0.098*** | 0.054*** | 0.046*** | 0.025*** | ||
| (0.005) | (0.006) | (0.007) | (0.006) | (0.006) | (0.005) | (0.006) | (0.007) | (0.006) | (0.007) | |||
| Más de 7 años | 0.352*** | 0.341*** | 0.260*** | 0.245*** | 0.242*** | 0.221*** | 0.215*** | 0.175*** | 0.140*** | 0.147*** | ||
| (0.005) | (0.006) | (0.007) | (0.006) | (0.006) | (0.005) | (0.006) | (0.007) | (0.006) | (0.006) | |||
| Tamaño empresa | ||||||||||||
| 10-49 trabajadores | -0.206*** | 0.094*** | 0.092*** | 0.080*** | 0.074*** | |||||||
| (0.004) | (0.005) | (0.005) | (0.005) | (0.005) | ||||||||
| 50-199 trabajadores | -0.102*** | 0.173*** | 0.171*** | 0.143*** | 0.126*** | |||||||
| (0.004) | (0.005) | (0.004) | (0.005) | (0.005) | ||||||||
| 200 y más trabajadores | 0.276*** | 0.278*** | 0.229*** | 0.222*** | ||||||||
| (0.006) | (0.005) | (0.004) | (0.005) | |||||||||
| Tipo de contrato | ||||||||||||
| Indefinido | 0.064*** | 0.036*** | 0.007* | 0.045*** | 0.035*** | |||||||
| (0.004) | (0.004) | (0.004) | (0.004) | (0.004) | ||||||||
| Tipo de jornada | ||||||||||||
| Completa | -0.042*** | 0.018*** | 0.008* | 0.034*** | 0.025*** | |||||||
| (0.006) | (0.005) | (0.005) | (0.004) | (0.004) | ||||||||
| Dummies de ocupación | SI | SI | SI | SI | ||||||||
| Dummies de sector de actividad | SI | SI | SI | SI | ||||||||
| Constante | 1.441*** | 1.607*** | 1.718*** | 1.578*** | 1.703*** | 2.690*** | 2.531*** | 2.620*** | 2.392*** | 2.477*** | ||
| (0.019) | (0.022) | (0.027) | (0.026) | (0.024) | (0.024) | (0.025) | (0.033) | (0.031) | (0.031) | |||
| R-cuadrado | 0.361 | 0.317 | 0.348 | 0.347 | 0.340 | 0.489 | 0.477 | 0.507 | 0.482 | 0.464 | ||
| No. observaciones | 186,744 | 230,001 | 171,421 | 199,348 | 206,537 | 186,744 | 230,001 | 171,421 | 199,347 | 206,537 | ||
| Brecha salarial de género ajustada (%) | |||||
|---|---|---|---|---|---|
| Año | <30 | 30-39 años | 40-49 años | 50-59 años | Más de 59 años |
| 2002 | 13,24 | 16,83 | 19,75 | 20,42 | 21,8 |
| -0,005 | -0,006 | -0,008 | -0,012 | -0,024 | |
| 2006 | 11,31 | 15,12 | 17,28 | 20,11 | 20,78 |
| -0,007 | -0,007 | -0,008 | -0,011 | -0,03 | |
| 2010 | 9,3 | 12,82 | 14,6 | 16,31 | 20,37 |
| -0,009 | -0,006 | -0,007 | -0,009 | -0,023 | |
| 2014 | 4,69 | 10,75 | 12,62 | 14,97 | 17,21 |
| -0,008 | -0,005 | -0,006 | -0,008 | -0,018 | |
| 2018 | 6,8 | 10,7 | 13,24 | 15,26 | 15,25 |
| -0,009 | -0,006 | -0,005 | -0,01 | -0,014 | |
| % Mujeres | |||||
| 2002 | 42,3 | 38,1 | 36,9 | 29,1 | 25,9 |
| 2006 | 44,8 | 42,2 | 39,9 | 35,9 | 26,2 |
| 2010 | 51,5 | 47,9 | 46,7 | 44,5 | 37,6 |
| 2014 | 50,9 | 49,2 | 47,7 | 45,9 | 41,9 |
| 2018 | 47,7 | 48,8 | 47,8 | 46,1 | 47 |
| Brecha salarial de género ajustada (%) | ||||
|---|---|---|---|---|
| Año | Primaria o menos | 1er ciclo de Educ. Secundaria | 2o ciclo de Educ. Secundaria | Educ. terciaria |
| 2002 | 21,3 | 19,23 | 18,27 | 14,29 |
| -0,006 | -0,007 | -0,008 | -0,006 | |
| 2006 | 18,21 | 15,06 | 17,31 | 15,3 |
| -0,008 | -0,007 | -0,009 | -0,007 | |
| 2010 | 13,76 | 15,03 | 16,96 | 12,54 |
| -0,008 | -0,007 | -0,009 | -0,006 | |
| 2014 | 11,24 | 12,42 | 13,55 | 11,91 |
| -0,007 | -0,006 | -0,007 | -0,006 | |
| 2018 | 13,01 | 13,26 | 14,18 | 12,1 |
| -0,008 | -0,009 | -0,007 | -0,005 | |
| % Mujeres | ||||
| 2002 | 29,9 | 32,7 | 44,8 | 44,2 |
| 2006 | 31,6 | 35,5 | 48 | 49,8 |
| 2010 | 37,8 | 43,3 | 51,9 | 53,3 |
| 2014 | 42,9 | 42,3 | 51,2 | 52,7 |
| 2018 | 40 | 43 | 51,1 | 53,1 |
| Brecha salarial de género ajustada (%) | ||||
|---|---|---|---|---|
| Año | Menos de 1 año | 1-3 años | 4-7 años | Más de 7 años |
| 2002 | 16,08 | 15,99 | 18,93 | 19,37 |
| -0,008 | -0,005 | -0,009 | -0,007 | |
| 2006 | 10,49 | 14,87 | 18,22 | 19,59 |
| -0,009 | -0,006 | -0,009 | -0,007 | |
| 2010 | 9,94 | 11,25 | 15,59 | 17,74 |
| -0,012 | -0,006 | -0,008 | -0,006 | |
| 2014 | 6,99 | 7,8 | 11,17 | 16,35 |
| -0,01 | -0,007 | -0,008 | -0,005 | |
| 2018 | 8,25 | 11,1 | 9,87 | 15,8 |
| -0,01 | -0,008 | -0,009 | -0,005 | |
| % Mujeres | ||||
| 2002 | 40,7 | 39 | 38 | 33,7 |
| 2006 | 40,9 | 41,9 | 43,5 | 37,8 |
| 2010 | 46,1 | 50,6 | 49,9 | 42,9 |
| 2014 | 45,1 | 48,3 | 52,6 | 46,4 |
| 2018 | 44,9 | 44,6 | 47,2 | 50,3 |
| Brecha salarial de género ajustada (%) | |||||
|---|---|---|---|---|---|
| Año | Directores y Gerentes | Técnicos y prof.cientif. | Técnicos y prof. de apoyo | Empleados adminis. | Trabaj. serv. restauración, personales… |
| 2002 | 16,78 | 12,99 | 17,79 | 15,11 | 15,94 |
| -0,027 | -0,008 | -0,009 | -0,009 | -0,01 | |
| 2006 | 24,41 | 13,57 | 14,61 | 14,44 | 14,46 |
| -0,022 | -0,01 | -0,01 | -0,009 | -0,01 | |
| 2010 | 10,82 | 11,66 | 15,22 | 13,91 | 12,43 |
| -0,025 | -0,009 | -0,009 | -0,009 | -0,009 | |
| 2014 | 12,19 | 10,76 | 12,93 | 12,49 | 9,45 |
| -0,022 | -0,008 | -0,008 | -0,007 | -0,007 | |
| 2018 | 13,21 | 10,75 | 12,36 | 10,9 | 12,49 |
| -0,027 | -0,007 | -0,009 | -0,008 | -0,009 | |
| % Mujeres | |||||
| 2002 | 17,9 | 48,1 | 38,7 | 59 | 58,3 |
| 2006 | 23,4 | 56 | 43,9 | 64,6 | 65,7 |
| 2010 | 30,8 | 58 | 41,9 | 65,6 | 66,4 |
| 2014 | 35,2 | 58 | 43,5 | 64,5 | 65 |
| 2018 | 36,2 | 58 | 41,5 | 66,6 | 63,3 |
| Brecha salarial de género ajustada (%) | ||||||||||||
|---|---|---|---|---|---|---|---|---|---|---|---|---|
| Año | Industrias extractivas | Manufacturas | Producción y distribución de energía eléctrica, gas y agua | Construcción | Comercio | Hostelería | Transp. y almacenamiento | Interm. financiera | Actividades Inmobiliarias | Educación | Activ.sanit. | Otras actividades Sociales |
| 2002 | 23,62 | 23,18 | 17,12 | 20,05 | 20,95 | 10,48 | 17,12 | 11,95 | 14,74 | 4,3 | 17,18 | 21,38 |
| -0,042 | -0,004 | -0,023 | -0,019 | -0,011 | -0,008 | -0,016 | -0,013 | -0,01 | -0,009 | -0,011 | -0,012 | |
| 2006 | 18,99 | 22,18 | 22,71 | 15,51 | 14,41 | 10,75 | 16,7 | 14,17 | 15,3 | 2,93 | 21,78 | 18,73 |
| -0,027 | -0,004 | -0,017 | -0,019 | -0,011 | -0,013 | -0,015 | -0,011 | -0,01 | -0,011 | -0,016 | -0,012 | |
| 2010 | 20,1 | 20,94 | 21,92 | 15,93 | 15,01 | 8,97 | 13,93 | 16,35 | 16,02 | 8,57 | 13,48 | 13,91 |
| -0,055 | -0,006 | -0,017 | -0,022 | -0,01 | -0,015 | -0,017 | -0,016 | -0,006 | -0,015 | -0,009 | -0,014 | |
| 2014 | 25,02 | 20,81 | 21,67 | 15,8 | 13,05 | 6,02 | 15,29 | 16,6 | 12,29 | 5,83 | 13,51 | 12,64 |
| -0,042 | -0,005 | -0,015 | -0,021 | -0,009 | -0,011 | -0,013 | -0,015 | -0,005 | -0,014 | -0,01 | -0,012 | |
| 2018 | 13,03 | 20,12 | 19,18 | 6,22 | 13,77 | 6,96 | 16,68 | 17 | 12,58 | 6,04 | 12,06 | 12,36 |
| -0,037 | -0,005 | -0,015 | -0,022 | -0,01 | -0,016 | -0,013 | -0,016 | -0,005 | -0,013 | -0,009 | -0,012 | |
| % Mujeres | ||||||||||||
| 2002 | 7,3 | 25 | 16,2 | 6,6 | 43,1 | 52,1 | 24,4 | 36,1 | 52,1 | 62,6 | 71,5 | 45,3 |
| 2006 | 8,5 | 25,3 | 18,2 | 8,3 | 46,1 | 54,9 | 25,3 | 43,7 | 55,1 | 65,7 | 74,5 | 55,9 |
| 2010 | 8,4 | 25,8 | 20 | 11,4 | 52,5 | 56,8 | 25,8 | 57,7 | 46,3 | 67,3 | 76,8 | 64,1 |
| 2014 | 8,2 | 26,2 | 20,4 | 11,6 | 49,1 | 56,7 | 26,3 | 59,9 | 48,4 | 66,6 | 75,5 | 60,7 |
| 2018 | 10,7 | 26,9 | 21,7 | 11 | 49,4 | 55,6 | 26,8 | 59,9 | 46,2 | 65,3 | 76,5 | 57,7 |
| Brecha salarial de género ajustada (%) | ||||
|---|---|---|---|---|
| Año | 1-9 trab. | 10-49 trab. | 50-199 trab. | 200 y más trab. |
| 2002 | . | 16,25 | 20,51 | 19,69 |
| -0,005 | -0,005 | -0,007 | ||
| 2006 | 13,02 | 16,04 | 17,37 | 19,01 |
| -0,013 | -0,005 | -0,005 | -0,005 | |
| 2010 | 12,44 | 14,9 | 15,84 | 15,25 |
| -0,01 | -0,007 | -0,006 | -0,004 | |
| 2014 | 9,36 | 12,67 | 13,26 | 14,35 |
| -0,009 | -0,007 | -0,006 | -0,004 | |
| 2018 | 11,55 | 12,42 | 13,82 | 13,67 |
| -0,012 | -0,007 | -0,005 | -0,004 | |
| % Mujeres | ||||
| 2002 | 0 | 32,7 | 35,6 | 44,9 |
| 2006 | 40,9 | 34,5 | 39 | 49,2 |
| 2010 | 47,6 | 39,4 | 46,2 | 54,8 |
| 2014 | 48,2 | 42,3 | 46,2 | 53,7 |
| 2018 | 48,1 | 40,7 | 45,5 | 54,1 |
| Brecha salarial de género ajustada (%) | ||
|---|---|---|
| Año | Indefinido | Temporal |
| 2002 | 19,17 | 14,57 |
| -0,004 | -0,006 | |
| 2006 | 18,26 | 11,86 |
| -0,005 | -0,007 | |
| 2010 | 15,59 | 11,72 |
| -0,004 | -0,008 | |
| 2014 | 13,79 | 7,84 |
| -0,004 | -0,007 | |
| 2018 | 14,27 | 9,09 |
| -0,004 | -0,007 | |
| % Mujeres | ||
| 2002 | 37,6 | 36,8 |
| 2006 | 42,1 | 37,9 |
| 2010 | 47,4 | 46,7 |
| 2014 | 47,7 | 49,2 |
| 2018 | 47,6 | 47,6 |
| Brecha salarial de género ajustada (%) | ||
|---|---|---|
| Año | Tiempo completo | Tiempo parcial |
| 2002 | 18,74 | 16,75 |
| -0,003 | -0,016 | |
| 2006 | 17,88 | 11,47 |
| -0,004 | -0,012 | |
| 2010 | 14,94 | 13,76 |
| -0,004 | -0,011 | |
| 2014 | 13,99 | 7,44 |
| -0,003 | -0,008 | |
| 2018 | 13,7 | 10,99 |
| -0,004 | -0,009 | |
| % Mujeres | ||
| 2002 | 32,8 | 74 |
| 2006 | 34,7 | 71,7 |
| 2010 | 40,5 | 71,1 |
| 2014 | 40,8 | 69,3 |
| 2018 | 41,2 | 66,6 |
| Año | p5 | p10 | p25 | p50 | p75 | p90 | p95 |
|---|---|---|---|---|---|---|---|
| 2002 | 13,15 | 13,81 | 15,22 | 18,21 | 21,41 | 24,32 | 25,45 |
| -0,005 | -0,004 | -0,003 | -0,003 | -0,004 | -0,006 | -0,009 | |
| 2006 | 11,4 | 13,14 | 14,16 | 16,85 | 19,47 | 22,13 | 20,96 |
| -0,006 | -0,005 | -0,004 | -0,004 | -0,005 | -0,007 | -0,01 | |
| 2010 | 9,76 | 10,95 | 12,6 | 14,07 | 15,6 | 18,21 | 21,11 |
| -0,005 | -0,005 | -0,004 | -0,004 | -0,005 | -0,006 | -0,008 | |
| 2014 | 9,2 | 9,7 | 10,5 | 11,71 | 13,67 | 16,77 | 18,76 |
| -0,005 | -0,005 | -0,004 | -0,004 | -0,005 | -0,007 | -0,007 | |
| 2018 | 9,18 | 10,18 | 11,21 | 12,67 | 14,23 | 15,37 | 17,86 |
| -0,004 | -0,004 | -0,004 | -0,004 | -0,004 | -0,007 | -0,009 |
Resumo
O obxectivo principal do traballo é estimar as brechas salariais de xénero axustadas en España, usando a Enquisa de Estrutura Salarial desde 2002 ata 2018 . Para iso úsase a mesma metodoloxía que Anghel, Conde-Ruiz e Marra de Artiñano ( 2019 ), incluíndo o 2018 ano . O principal resultado do traballo é que, por primeira vez na serie histórica, atopamos que a brecha salarial axustada aumenta, do 12 , 7 % en 2014 13 ao , 3 % en , 2018 truncándose así a senda descendente que viñamos observando desde o inicio do século XXI. No entanto, hai que tomar estes resultados con cautela pois estatisticamente non se pode rexeitar a hipótese de que os coeficientes do ano 2014 e do ano 2018 sexan iguais. Por tanto, habería que esperar á seguinte onda da EES do ano 2022 para confirmar se a brecha mantense igual, segue reducíndose ou se trata dun cambio de tendencia.
Palabras crave: Brecha salarial de xénero, Mercado de Traballo, Enquisa de Estrutura Salarial
1 . Introdución
Partindo da base de que o talento se distribúe por igual entre homes e mulleres cada vez hai unha maior preocupación e sensibilidade pola desigualdade de xénero. Non se trata xa só dunha cuestión de xustiza ou equidade, senón tamén de eficiencia, no sentido de que, se existen barreiras ou impedimentos que dificulten que as mulleres poidan desenvolverse en igualdade de oportunidades cos homes, estariamos desaproveitado parte do talento da metade da poboación. De feito, oWorld Economic Forum( 2020 ) atopa que canto maior é a igualdade de xénero nun país maior é a súa renda per cápita. Por iso, desperdiciar o talento feminino é algo que non nos podemos permitir, máxime cando nas próximas décadas o imparable envellecemento poboacional vai provocar que a poboación en idade de traballar redúzase significativamente.
O avance das mulleres en termos laborais nas últimas décadas foi impresionante. En tan 1990 só o 34 % das mulleres en idade de traballar participaban no mercado laboral e a día de hoxe fano o 47 , 5 %. O seu esforzo educativo tamén foi enorme: actualmente, en España, as mulleres con menos de anos 50 alcanzaron un nivel educativo moi superior ao dos homes da súa xeración. A pesar diso, como mostran Conde-Ruiz e Marra de Artíñano ( 2016 ), as mulleres teñen unha peor situación no mercado laboral: i) experimentan unha maior taxa de paro, unha menor taxa de emprego e un maior grao de precariedade laboral; ii) presentan brechas salariais negativas en todas as dimensións e iii) están infra-representadas nos postos de responsabilidade (Conde-Ruiz, Garcia e Yañez, 2019 ).
Neste artigo analizaremos as brechas salariais de xénero e a súa evolución no período 2002 - 2018 . Hai dúas formas de calcular as brechas salariais: sen axustar e axustadas. Por unha banda, a brecha de xénero sen axustar mide a diferenza porcentual bruta en salario (normalmente por hora) entre homes e mulleres independentemente das características socioeconómicas e do posto de traballo que ocupa cada un. Doutra banda, a brecha salarial axustada busca medir a diferenza porcentual en salario entre homes e mulleres controlando por todas as características e trata de buscar unha medida de “diferenzas en remuneración polo mesmo traballo realizado”. Esta última é a medida da brecha salarial relevante.
Para estimar as brechas salariais de xénero axustadas, neste artigo imos usar a mesma metodoloxía que Anghel, Conde-Ruiz e Marra de Artiñano ( 2019 ) incorporando a última onda da Enquisa de Estrutura Salarial (EES), que corresponde ao ano 2018 1 . En concreto, teranse en conta unha serie de características dos traballadores e dos postos de traballo que ocupan: variables socioeconómicas (sexo, idade, nivel educativo e experiencia) e características do emprego e da empresa (tamaño da empresa, tipo de contrato, tipo de xornada, ocupación e sector de actividade). Pero a tarefa de poder controlar por todas as características que poden afectar potencialmente o salario percibido é imposible, pois mesmo esta enquisa, sendo a que proporciona un maior detalle de características dos asalariados, deixa fóra algunhas que sabemos que son determinantes pero que non son observables como, por exemplo, a motivación, a capacidade de liderado, a persuasión ou a actitude fronte ao risco.
O resultado principal do traballo é que, por primeira vez na serie histórica, atopamos que a brecha salarial axustada aumenta, do 12 , 7 % en 2014 13 ao , 3 % en , 2018 truncándose así a senda descendente que viñamos observando. Con todo, habería que tratar este resultado con certa cautela, dado que se se realiza un test da igualdade dos coeficientes da variable“Muller”nas estimacións dos anos 2014 e 2018 non se pode rexeitar a hipótese nula de que estes coeficientes son iguais. Por tanto, haberá que esperar á seguinte onda da EES do ano 2022 para confirmar se a brecha mantense igual, segue reducíndose ou se trata dun cambio de tendencia.
O artigo está organizado da seguinte forma. Na sección 2 analízanse as brechas de xénero sen axustar e compáranse coas doutros países europeos. Na sección 3 estímanse as brechas de xénero axustadas para o total dos traballadores e para distintos colectivos. Na sección 4 realizamos unha análise das brechas salariais na distribución dos salarios, utilizando as regresións cuantílicas. A última sección conclúe.
1 Segundo o calendario de publicación de estatísticas do Instituto Nacional de Estatística, a próxima onda da EES do ano 2022 publicaríase no 2024 ano .
2 . As brechas salariais de xénero sen axustar
A brecha salarial de xénero defínese como a porcentaxe adicional que cobran os homes respecto das mulleres, é dicir, situando o salario feminino no denominador. Ademais, a medición da brecha de xénero realizarase sobre o salario por hora, corrixindo así pola maior incidencia da xornada parcial e da temporalidade entre as mulleres.
Cando analizamos as brechas de xero sen axustar atopamos que tanto a brecha media como a mediana se han ido reducindo no período 2002 - 2018 desde en torno ao 25 % ata situarse no 13 , 5 % e o 14 , 2 % respectivamente (ver Gráfico 1 ).
Fonte: Elaboración propia con datos da EES europea (Eurostat), 2018
No Gráfico 2 , podemos ver unha comparación destas brechas de xero sen axustar entre países no 2018 ano . España sitúase por baixo da media, e con brechas salariais máis pequenas que países como Francia, Alemaña ou Dinamarca.
Fonte: Elaboración propia con datos da EES europea (Eurostat), 2018
Como diciamos na introdución, estas brechas sen axustar non son moi informativas pois poden estar a recoller efectos composición. Neste sentido é ilustrativo o caso de Italia, no que existe unha baixa taxa de participación feminina ( 44 % vs 53 % na Unión Europea) e unha baixa brecha salarial de xénero sen axustar. Unha explicación plausible é que no caso italiano a participación laboral das mulleres con maior cualificación, e por tanto con maiores salarios, sería moi superior á das mulleres con menor cualificación. E como estamos a comparar brechas medias sen axustar, o salario medio sen axustar das mulleres italianas sería máis alto, simplemente polo feito de que ao calcular a media hai unha menor porcentaxe de mulleres con salario baixo.
Os efectos composición son determinantes na estimación das brechas sen axustar e por este motivo, cremos que o correcto é analizar as brechas axustando por características.
3 . Estimacións de brecha salarial de xénero axustada en España: 2002 - 2018
As estimacións da brecha de xénero axustada, é dicir, controlando polo efecto de todas aquelas características observables relevantes á hora de explicar o salario, son especialmente complexas e representan o obxectivo deste artigo. Para iso imos usar a mesma metodoloxía que en Anghel et ao. ( 2019 ) utilizando os microdatos da EES española para os anos 2002 , 2006 , 2010 , 2014 e 2018 . Como puñamos de relevo en Anghel et ao. ( 2019 ), unha das características máis importantes desta enquisa é que contén microdatos que emparellan traballadores cos establecementos onde traballan.
A mostra de empresas incluídas na enquisa sufriu varios cambios ao longo do tempo. No 2002 ano , a EES non inclúe as empresas con menos de traballadores. 10 A partir do ano 2006 , considéranse todas as empresas, independentemente do número de traballadores. En canto ao sector de actividade, nos 2002 anos e 2006 a enquisa non inclúe o sector de Administración Pública, Defensa e Seguridade Social. A partir do ano 2010 , inclúense estes sectores tamén. Co obxectivo de homoxeneizar as mostras en todos os anos, eliminaremos aos traballadores do sector de Administración Pública, Defensa e Seguridade.
A EES contén información moi detallada sobre as características dos traballadores (xénero, idade, nivel educativo, nacionalidade), características do emprego (ocupación, antigüidade, tipo de contrato, tipo de xornada, etc.) e características das empresas (sector de actividade, tamaño, etc.). A información sobre os salarios inclúe datos sobre varios compoñentes dos salarios (tanto o salario basee como os complementos salariais ou os bonus) e recóllese no mes de outubro do ano de referencia.
| 2002 | 2006 | 2010 | 2014 | 2018 | ||
|---|---|---|---|---|---|---|
| Salario por hora (euros) | 11 , 95 | 11 , 14 | 11 , 39 | 11 , 17 | 11 , 3 | |
| Muller | 0 , 37 | 0 , 41 | 0 , 47 | 0 , 48 | 0 , 48 | |
| Idade | ||||||
| 30 anos | 0 , 28 | 0 , 26 | 0 , 19 | 0 , 13 | 0 , 13 | |
| 30 - 39 anos | 0 , 32 | 0 , 33 | 0 , 34 | 0 , 33 | 0 , 26 | |
| 40 - 49 anos | 0 , 24 | 0 , 24 | 0 , 26 | 0 , 3 | 0 , 32 | |
| 50 - 59 anos | 0 , 15 | 0 , 14 | 0 , 17 | 0 , 19 | 0 , 23 | |
| Máis de anos. 60 | 0 , 03 | 0 , 03 | 0 , 04 | 0 , 05 | 0 , 07 | |
| Nivel educativo | ||||||
| Primaria ou menos | 0 , 26 | 0 , 27 | 0 , 19 | 0 , 18 | 0 , 19 | |
| 1 er ciclo Secund. | 0 , 28 | 0 , 26 | 0 , 29 | 0 , 25 | 0 , 25 | |
| 2 ou ciclo Secund. | 0 , 18 | 0 , 18 | 0 , 21 | 0 , 23 | 0 , 2 | |
| Univ. | 0 , 28 | 0 , 29 | 0 , 32 | 0 , 34 | 0 , 35 | |
| Antigüedad na empresa | ||||||
| 1 | 0 , 15 | 0 , 15 | 0 , 09 | 0 , 09 | 0 , 12 | |
| 1 - 3 anos | 0 , 36 | 0 , 39 | 0 , 32 | 0 , 26 | 0 , 28 | |
| 4 - 7 anos | 0 , 16 | 0 , 18 | 0 , 22 | 0 , 19 | 0 , 14 | |
| Máis de anos. 7 | 0 , 33 | 0 , 29 | 0 , 37 | 0 , 45 | 0 , 45 | |
| Tamaño empresa | ||||||
| 10 trab. | 0 | 0 , 26 | 0 , 28 | 0 , 26 | 0 , 24 | |
| 10 - 49 trab. | 0 , 43 | 0 , 29 | 0 , 26 | 0 , 25 | 0 , 26 | |
| 50 - 199 trab. | 0 , 25 | 0 , 19 | 0 , 18 | 0 , 19 | 0 , 19 | |
| 200 e máis | 0 , 32 | 0 , 26 | 0 , 28 | 0 , 3 | 0 , 31 | |
| Tipo de contrato | ||||||
| Indefinido | 0 , 73 | 0 , 71 | 0 , 78 | 0 , 79 | 0 , 78 | |
| Tipo de xornada | ||||||
| Completa | 0 , 89 | 0 , 83 | 0 , 78 | 0 , 75 | 0 , 75 | |
| Non. observacións | 186 , 744 | 230 , 001 | 171 , 421 | 199 , 348 | 206 , 537 | |
Al igual que en Anghel et al. ( 2019 ), utilizamos como medida de los salarios, el salario por hora bruto del mes de octubre. Lo calculamos siguiendo la metodología del Instituto Nacional de Estadística como el salario que corresponde al mes de octubre dividido por el número de horas trabajadas en el mes de octubre. El número de horas trabajadas al mes se calcula como el número de horas trabajadas a la semana multiplicado por 4 , 35 más el número de horas extra trabajadas durante el mes de octubre. Los salarios están deflactados y expresados en euros de 2015 utilizando el IPC armonizado publicado por Eurostat.
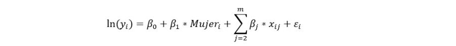
A brecha salarial estímase a través dunha ecuación de salarios de Mincer, onde se controla por unha serie de variables relevantes para a determinación do salario dun traballador:
donde ln(yi ) es el logaritmo del salario real por hora,Mujeri es una variable ficticia que toma el valor 1 si el trabajador es mujer y 0 si es hombre, y xijson una serie de variables de control que determinan potencialmente el salario de un trabajador. El coeficiente de interés es el coeficiente β 1 que indica la diferencia porcentual en salarios entre una mujer y un hombre. Las variables de control que se consideran son:
i)idade;
ii) nivel educativo(primaria ou menos, primeiro ciclo de educación secundaria, segundo ciclo de educación secundaria e universidade ou máis);
iii) experiencia(medida como antigüidade na empresa actual: menos de ano, 1 1 - 3 anos, 4 - 7 anos e máis de anos);. 7
iv)tamaño da empresa( 1 - 9 traballadores, 10 - 49 traballadores, 50 - 199 traballadores, e 200 e máis traballadores);
v)tipo de contrato(indefinido ou temporal);
vin)tipo de xornada(completa ou parcial);
vii) ocupación(novedummiesbaseados na Clasificación Nacional de Ocupacións de e 1994 2011 ); e
viii) sector de actividade(trecedummiesbaseados na Clasificación Nacional de Actividades Económicas de e 1993 2009 ).
3 . 1 . Brecha salarial de xénero axustada total
Na Táboa 2 preséntanse os principais resultados. Móstranse as estimacións da ecuación de Mincer para todos os anos, utilizando dúas especificacións: i) unha que inclúe características socio-demográficas do traballador: sexo, idade, nivel educativo e experiencia (modelo simple); e ii) outra que engade a esta lista de variables características do emprego e da empresa: tamaño da empresa, tipo de contrato, tipo de xornada, dummies de ocupación e dummies de sector de actividade (modelo estendido).
| Modelo simple | Modelo estendido | |||||||||||
|---|---|---|---|---|---|---|---|---|---|---|---|---|
| 2002 | 2006 | 2010 | 2014 | 2018 | 2002 | 2006 | 2010 | 2014 | 2018 | |||
| Muller | - 0 . 218 *** | - 0 . 202 *** | - 0 . 179 *** | - 0 . 171 *** | - 0 . 176 *** | - 0 . 187 *** | - 0 . 170 *** | - 0 . 149 *** | - 0 . 127 *** | - 0 . 133 *** | ||
| ( 0 . 003 ) | ( 0 . 004 ) | ( 0 . 003 ) | ( 0 . 003 ) | ( 0 . 003 ) | ( 0 . 003 ) | ( 0 . 004 ) | ( 0 . 004 ) | ( 0 . 003 ) | ( 0 . 004 ) | |||
| Idade | 0 . 024 *** | 0 . 016 *** | 0 . 009 *** | 0 . 013 *** | 0 . 010 *** | 0 . 018 *** | 0 . 010 *** | 0 . 004 *** | 0 . 009 *** | 0 . 006 *** | ||
| ( 0 . 001 ) | ( 0 . 001 ) | ( 0 . 001 ) | ( 0 . 001 ) | ( 0 . 001 ) | ( 0 . 001 ) | ( 0 . 001 ) | ( 0 . 001 ) | ( 0 . 001 ) | ( 0 . 001 ) | |||
| Idade ao cadrado | - 0 . 000 *** | - 0 . 000 *** | - 0 . 000 | - 0 . 000 *** | - 0 . 000 *** | - 0 . 000 *** | - 0 . 000 *** | 0 . 000 | - 0 . 000 | - 0 . 000 | ||
| ( 0 . 000 ) | ( 0 . 000 ) | ( 0 . 000 ) | ( 0 . 000 ) | ( 0 . 000 ) | ( 0 . 000 ) | ( 0 . 000 ) | ( 0 . 000 ) | ( 0 . 000 ) | ( 0 . 000 ) | |||
| Nivel educativo | ||||||||||||
| 1 er ciclo Secundaria | 0 . 047 *** | 0 . 026 *** | 0 . 039 *** | 0 . 047 *** | 0 . 039 *** | 0 . 010 *** | 0 . 011 *** | 0 . 012 *** | 0 . 012 *** | 0 . 014 *** | ||
| ( 0 . 004 ) | ( 0 . 004 ) | ( 0 . 005 ) | ( 0 . 005 ) | ( 0 . 005 ) | ( 0 . 004 ) | ( 0 . 004 ) | ( 0 . 004 ) | ( 0 . 004 ) | ( 0 . 005 ) | |||
| 2 ou ciclo Secundaria | 0 . 219 *** | 0 . 175 *** | 0 . 183 *** | 0 . 168 *** | 0 . 154 *** | 0 . 092 *** | 0 . 087 *** | 0 . 091 *** | 0 . 090 *** | 0 . 093 *** | ||
| ( 0 . 005 ) | ( 0 . 005 ) | ( 0 . 005 ) | ( 0 . 005 ) | ( 0 . 005 ) | ( 0 . 005 ) | ( 0 . 005 ) | ( 0 . 005 ) | ( 0 . 005 ) | ( 0 . 005 ) | |||
| Universitarios | 0 . 513 *** | 0 . 447 *** | 0 . 512 *** | 0 . 523 *** | 0 . 504 *** | 0 . 152 *** | 0 . 149 *** | 0 . 155 *** | 0 . 190 *** | 0 . 212 *** | ||
| ( 0 . 004 ) | ( 0 . 005 ) | ( 0 . 005 ) | ( 0 . 005 ) | ( 0 . 005 ) | ( 0 . 005 ) | ( 0 . 006 ) | ( 0 . 006 ) | ( 0 . 005 ) | ( 0 . 006 ) | |||
| Antigüedad na empresa | ||||||||||||
| 1 - 3 anos | 0 . 062 *** | 0 . 065 *** | 0 . 031 *** | 0 . 042 *** | 0 . 017 *** | 0 . 030 *** | 0 . 037 *** | 0 . 009 | 0 . 011 * | - 0 . 001 | ||
| ( 0 . 004 ) | ( 0 . 005 ) | ( 0 . 007 ) | ( 0 . 006 ) | ( 0 . 006 ) | ( 0 . 004 ) | ( 0 . 005 ) | ( 0 . 006 ) | ( 0 . 006 ) | ( 0 . 006 ) | |||
| 4 - 7 anos | 0 . 159 *** | 0 . 160 *** | 0 . 092 *** | 0 . 114 *** | 0 . 073 *** | 0 . 089 *** | 0 . 098 *** | 0 . 054 *** | 0 . 046 *** | 0 . 025 *** | ||
| ( 0 . 005 ) | ( 0 . 006 ) | ( 0 . 007 ) | ( 0 . 006 ) | ( 0 . 006 ) | ( 0 . 005 ) | ( 0 . 006 ) | ( 0 . 007 ) | ( 0 . 006 ) | ( 0 . 007 ) | |||
| Máis de anos. 7 | 0 . 352 *** | 0 . 341 *** | 0 . 260 *** | 0 . 245 *** | 0 . 242 *** | 0 . 221 *** | 0 . 215 *** | 0 . 175 *** | 0 . 140 *** | 0 . 147 *** | ||
| ( 0 . 005 ) | ( 0 . 006 ) | ( 0 . 007 ) | ( 0 . 006 ) | ( 0 . 006 ) | ( 0 . 005 ) | ( 0 . 006 ) | ( 0 . 007 ) | ( 0 . 006 ) | ( 0 . 006 ) | |||
| Tamaño empresa | ||||||||||||
| 10 - 49 traballadores | - 0 . 206 *** | 0 . 094 *** | 0 . 092 *** | 0 . 080 *** | 0 . 074 *** | |||||||
| ( 0 . 004 ) | ( 0 . 005 ) | ( 0 . 005 ) | ( 0 . 005 ) | ( 0 . 005 ) | ||||||||
| 50 - 199 traballadores | - 0 . 102 *** | 0 . 173 *** | 0 . 171 *** | 0 . 143 *** | 0 . 126 *** | |||||||
| ( 0 . 004 ) | ( 0 . 005 ) | ( 0 . 004 ) | ( 0 . 005 ) | ( 0 . 005 ) | ||||||||
| 200 e máis traballadores | 0 . 276 *** | 0 . 278 *** | 0 . 229 *** | 0 . 222 *** | ||||||||
| ( 0 . 006 ) | ( 0 . 005 ) | ( 0 . 004 ) | ( 0 . 005 ) | |||||||||
| Tipo de contrato | ||||||||||||
| Indefinido | 0 . 064 *** | 0 . 036 *** | 0 . 007 * | 0 . 045 *** | 0 . 035 *** | |||||||
| ( 0 . 004 ) | ( 0 . 004 ) | ( 0 . 004 ) | ( 0 . 004 ) | ( 0 . 004 ) | ||||||||
| Tipo de xornada | ||||||||||||
| Completa | - 0 . 042 *** | 0 . 018 *** | 0 . 008 * | 0 . 034 *** | 0 . 025 *** | |||||||
| ( 0 . 006 ) | ( 0 . 005 ) | ( 0 . 005 ) | ( 0 . 004 ) | ( 0 . 004 ) | ||||||||
| Dummies de ocupación | SE | SE | SE | SE | ||||||||
| Dummies de sector de actividade | SE | SE | SE | SE | ||||||||
| Constante | 1 . 441 *** | 1 . 607 *** | 1 . 718 *** | 1 . 578 *** | 1 . 703 *** | 2 . 690 *** | 2 . 531 *** | 2 . 620 *** | 2 . 392 *** | 2 . 477 *** | ||
| ( 0 . 019 ) | ( 0 . 022 ) | ( 0 . 027 ) | ( 0 . 026 ) | ( 0 . 024 ) | ( 0 . 024 ) | ( 0 . 025 ) | ( 0 . 033 ) | ( 0 . 031 ) | ( 0 . 031 ) | |||
| R-cadrado | 0 . 361 | 0 . 317 | 0 . 348 | 0 . 347 | 0 . 340 | 0 . 489 | 0 . 477 | 0 . 507 | 0 . 482 | 0 . 464 | ||
| Non. observacións | 186 , 744 | 230 , 001 | 171 , 421 | 199 , 348 | 206 , 537 | 186 , 744 | 230 , 001 | 171 , 421 | 199 , 347 | 206 , 537 | ||
Se observa que tanto la brecha salarial del modelo simple como la del modelo extendido disminuyen hasta el año 2014 , pero, por primera vez en la serie, las brechas ajustadas en ambos modelos aumentan ligeramente en 2018 , llegando a un valor de 17 , 6 % y 13 , 3 % respectivamente.
Como ya pusimos de relieve en Anghel et al. ( 2019 ), al incluir características del trabajo (modelo extendido), la brecha salarial se reduce en todos los años. La explicación probablemente reside en que el modelo simple no escapa del efecto composición: el coeficiente de la dummyde mujer en el modelo simple podría reflejar que hay más mujeres con contratos temporales, con jornada a tiempo parcial, en ocupaciones de menor cualificación, que son modalidades de empleo peor remuneradas en promedio. Hay que destacar que este efecto composición según tipo de empleo es muy relevante, puesto que una parte importante de la diferencia salarial entre hombres y mujeres en el mercado laboral español se debe al hecho de que se observa que las mujeres están trabajando en los segmentos de mercado con peores salarios.
Posto que a variable dependente da ecuación de Mincer está en logaritmos, o coeficiente β 1 interprétase da seguinte maneira: o diferencial en salarios entre unha muller e un home é 100 de * β 1 %. Ademais, se queremos expresalo da mesma maneira como se fixo na Sección 2 , o diferencial entre o salario dun home e o salario dunha muller, sería - 100 * β 1 % 4 .
Como o modelo estendido é o máis completo para estudar as brechas de xero axustadas, a partir de agora imos centrarnos neste modelo para analizar que pasou coa evolución das brechas salariais en España. No seguinte gráfico, vemos o principal resultado do artigo: aínda que é certo quea brecha sen axustar séguese reducindo, como vimos anteriormente, a brecha axustada aumenta en España por primeira vez: pasando do 12 , 7 % en 2014 13 ao , 3 % en .. 2018
O aumento na brecha salarial axustada pode indicar que a situación no mercado laboral non está a permitir aproveitar a mellora nas características das mulleres, xa sexa a mellora no nivel educativo ou a maior experiencia laboral.
Con todo, habería que interpretar este resultado con certa cautela, dado que se se realiza un test da igualdade dos coeficientes da variable “Muller”nas estimacións dos anos 2014 e 2018 non se pode rexeitar a hipótese nula de que estes coeficientes son iguais. Por tanto, haberá que esperar á seguinte onda da EES do ano 2022 para confirmar se a brecha mantense igual, segue reducíndose ou se trata dun cambio de tendencia.
A seguir, imos estimar as brechas axustadas de xero por características usando a mesma ecuación salarial de Mincer, para identificar onde ou baixo que características produciuse un aumento na brecha salarial.
3 . 2 Brecha salarial de género ajustada por grupos de edad
Os coeficientes que aparecen na Táboa 3 e representados no Gráfico 5 son a diferenza salarial entre homes e mulleres coas mesmas características socio-demográficas e do traballo, pero que difiren en canto ao grupo de idade. Como xa advertimos en Anghel et ao. ( 2019 ), ao analizar a evolución das brechas salariais por idade ao longo do tempo, hai que ter certa cautela, porque a EES é unha enquisa de sección transversal. Por tanto, podería haber potenciais efectos de cohortes ao comparar as brechas salariais por idade no período 2002 - 2018 .
| Brecha salarial de xénero axustada (%) | |||||
|---|---|---|---|---|---|
| Ano | 30 | 30 - 39 anos | 40 - 49 anos | 50 - 59 anos | Máis de anos. 59 |
| 2002 | 13 , 24 | 16 , 83 | 19 , 75 | 20 , 42 | 21 , 8 |
| - 0 , 005 | - 0 , 006 | - 0 , 008 | - 0 , 012 | - 0 , 024 | |
| 2006 | 11 , 31 | 15 , 12 | 17 , 28 | 20 , 11 | 20 , 78 |
| - 0 , 007 | - 0 , 007 | - 0 , 008 | - 0 , 011 | - 0 , 03 | |
| 2010 | 9 , 3 | 12 , 82 | 14 , 6 | 16 , 31 | 20 , 37 |
| - 0 , 009 | - 0 , 006 | - 0 , 007 | - 0 , 009 | - 0 , 023 | |
| 2014 | 4 , 69 | 10 , 75 | 12 , 62 | 14 , 97 | 17 , 21 |
| - 0 , 008 | - 0 , 005 | - 0 , 006 | - 0 , 008 | - 0 , 018 | |
| 2018 | 6 , 8 | 10 , 7 | 13 , 24 | 15 , 26 | 15 , 25 |
| - 0 , 009 | - 0 , 006 | - 0 , 005 | - 0 , 01 | - 0 , 014 | |
| % Mulleres | |||||
| 2002 | 42 , 3 | 38 , 1 | 36 , 9 | 29 , 1 | 25 , 9 |
| 2006 | 44 , 8 | 42 , 2 | 39 , 9 | 35 , 9 | 26 , 2 |
| 2010 | 51 , 5 | 47 , 9 | 46 , 7 | 44 , 5 | 37 , 6 |
| 2014 | 50 , 9 | 49 , 2 | 47 , 7 | 45 , 9 | 41 , 9 |
| 2018 | 47 , 7 | 48 , 8 | 47 , 8 | 46 , 1 | 47 |
A Táboa 3 mostra que, en primeiro lugar, as brechas aumentan coa idade. Así, no 2018 ano , os homes de menos de anos 30 teñen en media un salario 6 , 8 % maior que os das mulleres, tendo ambos as mesmas características (observables). Con todo, entre os traballadores maiores de anos 50 a brecha amplíase ata 15 o , 2 %. Unha explicación plausible de por que a brecha salarial axustada se amplifica coa idade, podería ser a maternidade. Neste sentido Quinto, Hospido e Sanz ( 2021 ), con datos da Mostra Continua de Vidas Laborais atopan que o custo da maternidade (i.e “child penalti”) en España, é moi alto, aínda que similar ao doutros países. Concretamente atopan: i) un ano despois de ter un fillo os ingresos das nais caen un 11 , 4 % e esta caída segue ampliándose ata 28 o % no longo prazo; ii) as horas traballadas caen un 10 % a curto prazo e un 23 % ao 10 cabo de anos; e iii) a precariedade tamén aumenta. Lamentablemente, esta base de datos, sendo moi precisa en canto á remuneración, non dá información sobre o número de fillos, polo que non é posible estimar o efecto que a maternidade ten sobre a brecha salarial.
En segundo lugar, como se pode ver no Gráfico 4 , no 2018 ano rompe a tendencia de redución e as brechas salariais aumentan para todos os grupos de idade, menos para o grupo das mulleres maiores de anos 59 onde a brecha mellora,reducíndose do 17 , 2 % ao 15 , 2 %.
Fonte: Elaboración propia con microdatos da Enquisa de Estrutura Salarial 2002 - 2018 (INE). Notas: A brecha salarial axustada estímase dunha regresión do logaritmo do salario por hora sobre unha dummy de muller, idade, idade ao cadrado, nivel educativo, antigüidade, tamaño da empresa, tipo de contrato, sector e ocupación.
3 . 3 Brecha salarial de género ajustada por nivel educativo
Nesta sección estímase a diferenza salarial entre homes e mulleres coas mesmas características socio-demográficas e do traballo pero que difiren en canto ao nivel educativo alcanzado. Son destacables tres aspectos. Primeiro, como se pode ver na Táboa 4 , as mulleres están máis representadas na EES segundo aumenta a cualificación: as mulleres representan o 40 % dos traballadores con estudos primarios (ou inferior) e o 53 % dos traballadores con estudos terciarios. Segundo, os resultados das brechas salariais axustadas mostran un diferencial salarial a favor dos homes para todos os niveis educativos. Así, unha muller, controlando por todas as características, con estudos primarios, no 2018 ano , ten uns ingresos uns 13 % inferiores a un home coas mesmas características. A brecha é do 14 , 2 % para os traballadores con educación secundaria e do 12 , 1 % para o grupo con estudos universitarios.
| Brecha salarial de xénero axustada (%) | ||||
|---|---|---|---|---|
| Ano | Primaria ou menos | 1 er ciclo de Educ. Secundaria | 2 ou ciclo de Educ. Secundaria | Educ. terciaria |
| 2002 | 21 , 3 | 19 , 23 | 18 , 27 | 14 , 29 |
| - 0 , 006 | - 0 , 007 | - 0 , 008 | - 0 , 006 | |
| 2006 | 18 , 21 | 15 , 06 | 17 , 31 | 15 , 3 |
| - 0 , 008 | - 0 , 007 | - 0 , 009 | - 0 , 007 | |
| 2010 | 13 , 76 | 15 , 03 | 16 , 96 | 12 , 54 |
| - 0 , 008 | - 0 , 007 | - 0 , 009 | - 0 , 006 | |
| 2014 | 11 , 24 | 12 , 42 | 13 , 55 | 11 , 91 |
| - 0 , 007 | - 0 , 006 | - 0 , 007 | - 0 , 006 | |
| 2018 | 13 , 01 | 13 , 26 | 14 , 18 | 12 , 1 |
| - 0 , 008 | - 0 , 009 | - 0 , 007 | - 0 , 005 | |
| % Mulleres | ||||
| 2002 | 29 , 9 | 32 , 7 | 44 , 8 | 44 , 2 |
| 2006 | 31 , 6 | 35 , 5 | 48 | 49 , 8 |
| 2010 | 37 , 8 | 43 , 3 | 51 , 9 | 53 , 3 |
| 2014 | 42 , 9 | 42 , 3 | 51 , 2 | 52 , 7 |
| 2018 | 40 | 43 | 51 , 1 | 53 , 1 |
Terceiro, no Gráfico 5 pódese ver como a senda de redución de brechas salariais axustadas por nivel educativo truncouse no 2018 ano e as brechas aumentan para todos os niveis educativos. O incremento é maior canto menor é o nivel educativo.
Fonte: Elaboración propia con microdatos da Enquisa de Estrutura Salarial 2002 - 2018 (INE). Notas: A brecha salarial axustada estímase dunha regresión do logaritmo do salario por hora sobre unha dummy de muller, idade, idade ao cadrado, nivel educativo, antigüidade, tamaño da empresa, tipo de contrato, sector e ocupación.
3 . 4 Brecha salarial de xénero axustada por antigüidade na empresa
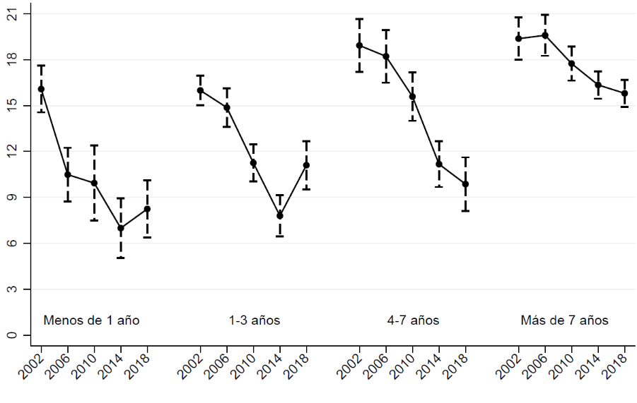
Outra característica relevante á hora de analizar as brechas salariais de xénero é ver que ocorre segundo número de anos de antigüidade na empresa. Por unha banda, obsérvase que a diferenza salarial entre homes e mulleres coas mesmas características socio-demográficas e do traballo aumenta coa antigüidade na empresa. En , 2018 unha muller coas mesmas características que un home gaña un 8 , 2 % menos que un home se leva menos dun ano na empresa e un 15 , 8 % menos se leva máis de sete anos traballando na mesma empresa.
| Brecha salarial de xénero axustada (%) | ||||
|---|---|---|---|---|
| Ano | Menos de ano. 1 | 1 - 3 anos | 4 - 7 anos | Máis de anos. 7 |
| 2002 | 16 , 08 | 15 , 99 | 18 , 93 | 19 , 37 |
| - 0 , 008 | - 0 , 005 | - 0 , 009 | - 0 , 007 | |
| 2006 | 10 , 49 | 14 , 87 | 18 , 22 | 19 , 59 |
| - 0 , 009 | - 0 , 006 | - 0 , 009 | - 0 , 007 | |
| 2010 | 9 , 94 | 11 , 25 | 15 , 59 | 17 , 74 |
| - 0 , 012 | - 0 , 006 | - 0 , 008 | - 0 , 006 | |
| 2014 | 6 , 99 | 7 , 8 | 11 , 17 | 16 , 35 |
| - 0 , 01 | - 0 , 007 | - 0 , 008 | - 0 , 005 | |
| 2018 | 8 , 25 | 11 , 1 | 9 , 87 | 15 , 8 |
| - 0 , 01 | - 0 , 008 | - 0 , 009 | - 0 , 005 | |
| % Mulleres | ||||
| 2002 | 40 , 7 | 39 | 38 | 33 , 7 |
| 2006 | 40 , 9 | 41 , 9 | 43 , 5 | 37 , 8 |
| 2010 | 46 , 1 | 50 , 6 | 49 , 9 | 42 , 9 |
| 2014 | 45 , 1 | 48 , 3 | 52 , 6 | 46 , 4 |
| 2018 | 44 , 9 | 44 , 6 | 47 , 2 | 50 , 3 |
En segundo lugar, no período 2002 - 2014 produciuse unha caída significativa das brechas axustadas por antigüidade: no grupo con antigüidade de menos de ano, 1 a redución de 2002 2014 a fora de puntos 9 porcentuais, no grupo con antigüidade entre 1 - 3 anos e entre 4 - 7 anos fora de pp 8 respectivamente. Pero, esta senda descendente das brechas viuse interrompida no 2018 ano : as brechas de xénero dos traballadores con menos de anos 3 de antigüidade aumentaron, pasando do 7 % ao 8 , 25 % para traballadores con menos dun ano de antigüidade e do 7 , 8 % ao 11 , 1 % para traballadores con ou 2 3 anos de antigüidade. Con todo, desde 2014 ata 2018 as traballadoras con anos 4 ou máis de antigüidade continuaron reducindo a brecha salarial con respecto aos homes coas mesmas características (socio-demográficas e laborais) que elas.
Fonte: Elaboración propia con microdatos da Enquisa de Estrutura Salarial 2002 - 2018 (INE). Notas: A brecha salarial axustada estímase dunha regresión do logaritmo do salario por hora sobre unha dummy de muller, idade, idade ao cadrado, nivel educativo, antigüidade, tamaño da empresa, tipo de contrato, sector e ocupación.
3 . 5 . Brecha salarial de xénero axustada por ocupación e por sector de actividade
As brechas salariais axustadas por ocupacións no período de análise atópanse na Táboa 5 . Hai varios feitos destacables. Primeiro, as mulleres no 2018 ano están subrepresentadas nas seguintes ocupacións: i) Directores e Xerentes ( 36 , 26 %); ii) Técnicos e Profesionais de Apoio ( 41 , 5 %); iii) Artesáns e Traballadores Cualificados ( 11 , 5 %) e v) Operadores de Maquinaria ( 9 , 8 %). E, as mulleres estas sobrerrepresentadas nas seguintes ocupacións: i) Técnicos e Profesionais Científicos ( 58 %); ii) Empregados Administrativos ( 66 %); iii) Traballadores de Servizo, Restauración e Persoais; e iii) Traballadores non Cualificados ( 51 , 5 %).
Segundo, as brechas salariais son sempre desfavorables para as mulleres e son máis altas na ocupación de Artesáns e Traballadores Cualificados onde unha muller coas mesmas características observables gaña un 24 , 3 % menos que un home e na ocupación de Operadores de maquinaria onde a Brecha alcanza un 18 , 2 %. Precisamente estas dúas ocupacións caracterízanse por ter moi pouca proporción de mulleres como vimos anteriormente.
| Brecha salarial de xénero axustada (%) | |||||
|---|---|---|---|---|---|
| Ano | Directores e Xerentes | Técnicos e prof.cientif. | Técnicos e prof. de apoio | Empregados adminis. | Trabaj. serv. restauración, persoais… |
| 2002 | 16 , 78 | 12 , 99 | 17 , 79 | 15 , 11 | 15 , 94 |
| - 0 , 027 | - 0 , 008 | - 0 , 009 | - 0 , 009 | - 0 , 01 | |
| 2006 | 24 , 41 | 13 , 57 | 14 , 61 | 14 , 44 | 14 , 46 |
| - 0 , 022 | - 0 , 01 | - 0 , 01 | - 0 , 009 | - 0 , 01 | |
| 2010 | 10 , 82 | 11 , 66 | 15 , 22 | 13 , 91 | 12 , 43 |
| - 0 , 025 | - 0 , 009 | - 0 , 009 | - 0 , 009 | - 0 , 009 | |
| 2014 | 12 , 19 | 10 , 76 | 12 , 93 | 12 , 49 | 9 , 45 |
| - 0 , 022 | - 0 , 008 | - 0 , 008 | - 0 , 007 | - 0 , 007 | |
| 2018 | 13 , 21 | 10 , 75 | 12 , 36 | 10 , 9 | 12 , 49 |
| - 0 , 027 | - 0 , 007 | - 0 , 009 | - 0 , 008 | - 0 , 009 | |
| % Mulleres | |||||
| 2002 | 17 , 9 | 48 , 1 | 38 , 7 | 59 | 58 , 3 |
| 2006 | 23 , 4 | 56 | 43 , 9 | 64 , 6 | 65 , 7 |
| 2010 | 30 , 8 | 58 | 41 , 9 | 65 , 6 | 66 , 4 |
| 2014 | 35 , 2 | 58 | 43 , 5 | 64 , 5 | 65 |
| 2018 | 36 , 2 | 58 | 41 , 5 | 66 , 6 | 63 , 3 |
En todas as ocupacións, o diferencial salarial axustado entre home e mulleres se ha ido reducindo ao longo do período ata o 2014 ano . Pero, no 2018 ano , as brechas de xero controlando por ocupación aumentaron con respecto a , 2014 un 10 % nos Traballadores non cualificados, un 32 % en Traballadores de Servizos, Restauración e Persoais e un 8 , 4 % en Directores e Xerentes.
Por sectoresde actividade tamén hai moitas diferenzas en canto á brecha salarial axustada. En primeiro lugar, é destacable que no 2018 ano as mulleres están subrepresentadas nos seguintes sectores: i) Industrias Extractivas ( 10 , 7 %); ii) Manufacturas ( 26 , 9 %); iii) Produción e Distribución de enerxía eléctrica, gas e auga ( 21 , 7 %); v) Construción ( 11 %); e vin) Transporte e Almacenamento ( 26 , 8 %). E están sobrerrepresentadas nos seguintes sectores: i) Hostalaría ( 55 , 6 %); ii) Intermediación Financeira ( 60 %); iii) Educación ( 65 %); iv) Actividades sanitarias ( 76 , 5 %) e v) Outras Actividades. Sociais ( 57 , 7 %). No sector do Comercio ( 49 % de mulleres) e o de Actividades inmobiliarias ( 46 , 2 %) hai practicamente o mesmo número de mulleres que de homes.
| Brecha salarial de xénero axustada (%) | ||||||||||||
|---|---|---|---|---|---|---|---|---|---|---|---|---|
| Ano | Industrias extractivas | Manufacturas | Produción e distribución de enerxía eléctrica, gas e auga | Construción | Comercio | Hostalaría | Transp. e almacenamento | Interm. financeira | Actividades inmobiliarias | Educación | Activ.sanit. | Outras actividades Sociais |
| 2002 | 23 , 62 | 23 , 18 | 17 , 12 | 20 , 05 | 20 , 95 | 10 , 48 | 17 , 12 | 11 , 95 | 14 , 74 | 4 , 3 | 17 , 18 | 21 , 38 |
| - 0 , 042 | - 0 , 004 | - 0 , 023 | - 0 , 019 | - 0 , 011 | - 0 , 008 | - 0 , 016 | - 0 , 013 | - 0 , 01 | - 0 , 009 | - 0 , 011 | - 0 , 012 | |
| 2006 | 18 , 99 | 22 , 18 | 22 , 71 | 15 , 51 | 14 , 41 | 10 , 75 | 16 , 7 | 14 , 17 | 15 , 3 | 2 , 93 | 21 , 78 | 18 , 73 |
| - 0 , 027 | - 0 , 004 | - 0 , 017 | - 0 , 019 | - 0 , 011 | - 0 , 013 | - 0 , 015 | - 0 , 011 | - 0 , 01 | - 0 , 011 | - 0 , 016 | - 0 , 012 | |
| 2010 | 20 , 1 | 20 , 94 | 21 , 92 | 15 , 93 | 15 , 01 | 8 , 97 | 13 , 93 | 16 , 35 | 16 , 02 | 8 , 57 | 13 , 48 | 13 , 91 |
| - 0 , 055 | - 0 , 006 | - 0 , 017 | - 0 , 022 | - 0 , 01 | - 0 , 015 | - 0 , 017 | - 0 , 016 | - 0 , 006 | - 0 , 015 | - 0 , 009 | - 0 , 014 | |
| 2014 | 25 , 02 | 20 , 81 | 21 , 67 | 15 , 8 | 13 , 05 | 6 , 02 | 15 , 29 | 16 , 6 | 12 , 29 | 5 , 83 | 13 , 51 | 12 , 64 |
| - 0 , 042 | - 0 , 005 | - 0 , 015 | - 0 , 021 | - 0 , 009 | - 0 , 011 | - 0 , 013 | - 0 , 015 | - 0 , 005 | - 0 , 014 | - 0 , 01 | - 0 , 012 | |
| 2018 | 13 , 03 | 20 , 12 | 19 , 18 | 6 , 22 | 13 , 77 | 6 , 96 | 16 , 68 | 17 | 12 , 58 | 6 , 04 | 12 , 06 | 12 , 36 |
| - 0 , 037 | - 0 , 005 | - 0 , 015 | - 0 , 022 | - 0 , 01 | - 0 , 016 | - 0 , 013 | - 0 , 016 | - 0 , 005 | - 0 , 013 | - 0 , 009 | - 0 , 012 | |
| % Mulleres | ||||||||||||
| 2002 | 7 , 3 | 25 | 16 , 2 | 6 , 6 | 43 , 1 | 52 , 1 | 24 , 4 | 36 , 1 | 52 , 1 | 62 , 6 | 71 , 5 | 45 , 3 |
| 2006 | 8 , 5 | 25 , 3 | 18 , 2 | 8 , 3 | 46 , 1 | 54 , 9 | 25 , 3 | 43 , 7 | 55 , 1 | 65 , 7 | 74 , 5 | 55 , 9 |
| 2010 | 8 , 4 | 25 , 8 | 20 | 11 , 4 | 52 , 5 | 56 , 8 | 25 , 8 | 57 , 7 | 46 , 3 | 67 , 3 | 76 , 8 | 64 , 1 |
| 2014 | 8 , 2 | 26 , 2 | 20 , 4 | 11 , 6 | 49 , 1 | 56 , 7 | 26 , 3 | 59 , 9 | 48 , 4 | 66 , 6 | 75 , 5 | 60 , 7 |
| 2018 | 10 , 7 | 26 , 9 | 21 , 7 | 11 | 49 , 4 | 55 , 6 | 26 , 8 | 59 , 9 | 46 , 2 | 65 , 3 | 76 , 5 | 57 , 7 |
No 2018 ano , en todos os sectores as brechas son negativas para as mulleres e os sectores coas brechas máis elevadas son: Manufacturas (un 20 , 1 %), Produción e Distribución de enerxía eléctrica, gas e auga (un 19 , 2 %) e Intermediación Financeira (un 17 %). Os primeiros dous sectores destacan pola súa baixa proporción de mulleres.
Por primeira vez na serie histórica, as brechas de xero axustadas aumentaron nalgúns sectores como Educación, Comercio e Hostalaría, mentres que en sectores maioritariamente ocupados por homes como Manufacturas, Construción ou Industrias Extractivas continuaron reducíndose.
3 . 6 . Brecha salarial de xénero axustada por tamaño da empresa
A seguir, imos analizar como varían as brechas salariais axustadas co tamaño da empresa. Atopamos tres aspectos relevantes. En primeiro lugar, como podemos ver na Táboa 8 , son as empresas cun número de traballadores entre 10 e 49 onde hai menos proporción de mulleres en relación aos homes (un 40 %), mentres que nas empresas grandes con máis de traballadores 200 hai un 54 % de mulleres.
En segundo lugar, na mesma Táboa 9 , podemos ver que no 2018 ano a brecha salarial de xénero aumenta co tamaño da empresa. Os homes gañan preto dun 14 % máis que as mulleres coas mesmas características nas empresas de máis de empregados 50 e en torno do 12 - 13 % máis nas empresas de menos de traballadores. . 50
En terceiro lugar, como se pode ver no Gráfico 7 , a brecha salarial continúa reducíndose no 2018 ano nas empresas de máis de traballadores, 200 pero ampliouse nas empresas de menos de traballadores.. 200
| Brecha salarial de xénero axustada (%) | ||||
|---|---|---|---|---|
| Ano | 1 - 9 trab. | 10 - 49 trab. | 50 - 199 trab. | 200 e máis trab. |
| 2002 | . | 16 , 25 | 20 , 51 | 19 , 69 |
| - 0 , 005 | - 0 , 005 | - 0 , 007 | ||
| 2006 | 13 , 02 | 16 , 04 | 17 , 37 | 19 , 01 |
| - 0 , 013 | - 0 , 005 | - 0 , 005 | - 0 , 005 | |
| 2010 | 12 , 44 | 14 , 9 | 15 , 84 | 15 , 25 |
| - 0 , 01 | - 0 , 007 | - 0 , 006 | - 0 , 004 | |
| 2014 | 9 , 36 | 12 , 67 | 13 , 26 | 14 , 35 |
| - 0 , 009 | - 0 , 007 | - 0 , 006 | - 0 , 004 | |
| 2018 | 11 , 55 | 12 , 42 | 13 , 82 | 13 , 67 |
| - 0 , 012 | - 0 , 007 | - 0 , 005 | - 0 , 004 | |
| % Mulleres | ||||
| 2002 | 0 | 32 , 7 | 35 , 6 | 44 , 9 |
| 2006 | 40 , 9 | 34 , 5 | 39 | 49 , 2 |
| 2010 | 47 , 6 | 39 , 4 | 46 , 2 | 54 , 8 |
| 2014 | 48 , 2 | 42 , 3 | 46 , 2 | 53 , 7 |
| 2018 | 48 , 1 | 40 , 7 | 45 , 5 | 54 , 1 |
Fonte: Elaboración propia con microdatos da Enquisa de Estrutura Salarial 2002 - 2018 (INE). Notas: A brecha salarial axustada estímase dunha regresión do logaritmo do salario por hora sobre unha dummy de muller, idade, idade ao cadrado, nivel educativo, antigüidade, tamaño da empresa, tipo de contrato, sector e ocupación. En non 2002 se enquisa a empresas con menos de traballadores.. 10
3 . 7 . Brecha salarial de género ajustada, por condiciones laborales
Por último, analizamos a brecha salarial axustada en función do tipo de contrato e da xornada laboral.
Por tipode contrato, no caso dos contratos indefinidos, a brecha salarial axustada en era 2018 dun 14 , 3 %, sendo maior que a dos contratos temporais, un 9 , 1 %. É dicir, controlando por todas as características socioeconómicas e laborais, os homes gañan un 14 % máis se teñen un contrato indefinido e un 9 % se o contrato é de carácter temporal. Canto á proporción das mulleres por tipo de contrato non se observan ningunhas diferenzas. Baixo ambos os tipos de contrato (indefinido ou temporal) hai un 47 , 6 % de mulleres.
| Brecha salarial de xénero axustada (%) | ||
|---|---|---|
| Ano | Indefinido | Temporal |
| 2002 | 19 , 17 | 14 , 57 |
| - 0 , 004 | - 0 , 006 | |
| 2006 | 18 , 26 | 11 , 86 |
| - 0 , 005 | - 0 , 007 | |
| 2010 | 15 , 59 | 11 , 72 |
| - 0 , 004 | - 0 , 008 | |
| 2014 | 13 , 79 | 7 , 84 |
| - 0 , 004 | - 0 , 007 | |
| 2018 | 14 , 27 | 9 , 09 |
| - 0 , 004 | - 0 , 007 | |
| % Mulleres | ||
| 2002 | 37 , 6 | 36 , 8 |
| 2006 | 42 , 1 | 37 , 9 |
| 2010 | 47 , 4 | 46 , 7 |
| 2014 | 47 , 7 | 49 , 2 |
| 2018 | 47 , 6 | 47 , 6 |
Na evolución temporal, vemos como as brechas de xénero axustadas por tipo contrato estaban a reducirse ata a última onda no 2018 ano cando aumentaron un 3 , 5 % nos contratos indefinidos e un 16 % nos contratos temporais.
Fonte: Elaboración propia con microdatos da Enquisa de Estrutura Salarial 2002 - 2018 (INE). Notas: A brecha salarial axustada estímase dunha regresión do logaritmo do salario por hora sobre unha dummy de muller, idade, idade ao cadrado, nivel educativo, antigüidade, tamaño da empresa, tipo de contrato, sector e ocupación.
Por tipode xornada,a brecha salarial é maior no caso dos traballadores con xornada a tempo completo, un 13 , 7 % no 2018 ano , fronte a un 11 % para os traballadores con xornada a tempo parcial. A presenza das mulleres é moito máis alta nos contratos con xornada a tempo parcial (un 66 , 6 %) que nos contratos con xornada a tempo completo (un 41 , 2 %).
| Brecha salarial de xénero axustada (%) | ||
|---|---|---|
| Ano | Tempo completo | Tempo parcial |
| 2002 | 18 , 74 | 16 , 75 |
| - 0 , 003 | - 0 , 016 | |
| 2006 | 17 , 88 | 11 , 47 |
| - 0 , 004 | - 0 , 012 | |
| 2010 | 14 , 94 | 13 , 76 |
| - 0 , 004 | - 0 , 011 | |
| 2014 | 13 , 99 | 7 , 44 |
| - 0 , 003 | - 0 , 008 | |
| 2018 | 13 , 7 | 10 , 99 |
| - 0 , 004 | - 0 , 009 | |
| % Mulleres | ||
| 2002 | 32 , 8 | 74 |
| 2006 | 34 , 7 | 71 , 7 |
| 2010 | 40 , 5 | 71 , 1 |
| 2014 | 40 , 8 | 69 , 3 |
| 2018 | 41 , 2 | 66 , 6 |
Na evolución temporal resumida no Gráfico 9 , podemos ver como a brecha salarial reduciuse lixeiramente para os traballos a xornada completa (unha redución do - 2 %), pero ampliouse un 48 % nos contratos a tempo parcial.
Fonte: Elaboración propia con microdatos da Enquisa de Estrutura Salarial 2002 - 2018 (INE). Notas: A brecha salarial axustada estímase dunha regresión do logaritmo do salario por hora sobre unha dummy de muller, idade, idade ao cadrado, nivel educativo, antigüidade, tamaño da empresa, tipo de contrato, sector e ocupación.
2 Véxase Anghel et ao. ( 2019 ) para máis detalles.
3 En España a brecha salarial en salario basee é tradicionalmente inferior que a brecha en complementos salariais (Amuedo-Dorantes e Da Rica, 2006 e Da Rica et ao., 2010 ). De acordo con a EES de , 2018 o bonus anual medio por empregado en España en foi 2018 duns 4 . 000 euros para os homes e ao redor de . 3 300 euros para as mulleres.
4 Hai que destacar que esta interpretación do coeficiente da dummy de muller é unha aproximación que se adoita facer nas análises empíricas cando a variable dependente é en logaritmo.
4 . Brechas salariais de xénero axustadas ao longo da distribución dos salarios
Do mesmo xeito que fixemos en Anghel et ao. ( 2019 ) nesta sección complementamos a análise, considerando as brechas salariais axustadas ao longo da distribución dos salarios. As brechas salariais axustadas estímanse utilizando a técnica das regresións cuantílicas (“quantiles regressions”), que permite calcular a brecha en varios puntos (percentiles) da distribución dos salarios e comparar a brecha salarial dos traballadores en función da parte da distribución na que se sitúan 5 .
Como se pode observar na Táboa 11 , os diferenciais salariais entre homes e mulleres son máis altos na parte superior da distribución dos salarios que na parte media e inferior. Isto suxire a existencia do glass-ceiling effectno mercado laboral español. Concretamente para o 2018 ano , a brecha salarial do percentil 10 é do 10 , 2 % e a do percentil 90 é do 15 , 4 %.
| Ano | p 5 | p 10 | p 25 | p 50 | p 75 | p 90 | p 95 |
|---|---|---|---|---|---|---|---|
| 2002 | 13 , 15 | 13 , 81 | 15 , 22 | 18 , 21 | 21 , 41 | 24 , 32 | 25 , 45 |
| - 0 , 005 | - 0 , 004 | - 0 , 003 | - 0 , 003 | - 0 , 004 | - 0 , 006 | - 0 , 009 | |
| 2006 | 11 , 4 | 13 , 14 | 14 , 16 | 16 , 85 | 19 , 47 | 22 , 13 | 20 , 96 |
| - 0 , 006 | - 0 , 005 | - 0 , 004 | - 0 , 004 | - 0 , 005 | - 0 , 007 | - 0 , 01 | |
| 2010 | 9 , 76 | 10 , 95 | 12 , 6 | 14 , 07 | 15 , 6 | 18 , 21 | 21 , 11 |
| - 0 , 005 | - 0 , 005 | - 0 , 004 | - 0 , 004 | - 0 , 005 | - 0 , 006 | - 0 , 008 | |
| 2014 | 9 , 2 | 9 , 7 | 10 , 5 | 11 , 71 | 13 , 67 | 16 , 77 | 18 , 76 |
| - 0 , 005 | - 0 , 005 | - 0 , 004 | - 0 , 004 | - 0 , 005 | - 0 , 007 | - 0 , 007 | |
| 2018 | 9 , 18 | 10 , 18 | 11 , 21 | 12 , 67 | 14 , 23 | 15 , 37 | 17 , 86 |
| - 0 , 004 | - 0 , 004 | - 0 , 004 | - 0 , 004 | - 0 , 004 | - 0 , 007 | - 0 , 009 |
A evolución temporal destas brechas resumida na Gráfico 10 mostra como a redución na brecha salarial ao longo do tempo en todos os percentiles é significativa desde o 2002 ano ata o 2014 ano . Pero no 2018 ano reduciuse unicamente para os percentiles máis baixos (P 5 e 10 P ) e para os percentiles máis altos (P 90 e 95 P ), e ampliouse para os percentiles intermedios.
Fonte: Elaboración propia con microdatos da Enquisa de Estrutura Salarial 2002 - 2018 (INE). Notas: A brecha salarial axustada estímase dunha regresión do logaritmo do salario por hora sobre unha dummy de muller, idade, idade ao cadrado, nivel educativo, antigüidade, tamaño da empresa, tipo de contrato,
5 As regresións cuantílicas estiman o impacto de cambios nas variables de control sobre percentiles específicos da variable dependente, do mesmo xeito que a estimación dos mínimos cadrados ordinarios mide o efecto dos cambios nas variables de control sobre a media da variable dependente. Por tanto, permiten que a relación entre a variable dependente e as variables de control difira ao longo da distribución dos salarios.
5. Conclusiones
Neste artigo actualizamos os resultados de Anghel, Conde-Ruiz e Marra de Artiñano ( 2019 ) incorporando a última onda da EES correspondente ao ano 2018 . Atopamos que por primeira vez na serie histórica as brechas de xero axustadas por características observables aumentan. En concreto, a brecha salarial axustada aumenta do 12 , 7 % en 2014 13 ao , 3 % en .. 2018
No artigo tamén analizamos as brechas axustadas en detalle e atopamos os seguintes resultados relevantes. Primeiro, a brecha aumenta coa idade e soben as brechas para todas as idades menos para as traballadoras maiores de anos, 59 cuxa brecha continúa decrecendo. Segundo, a brecha salarial axustada redúcese co nivel educativo, pero en increméntase 2018 para todos os niveis educativos. Terceiro, as brechas axustadas tamén son máis altas para os contratos indefinidos que para os contratos temporais, pero no último ano amplíanse para ambos os tipos de contrato. Cuarto, as brechas axustadas son máis altas para os contratos a tempo completo que para os contratos a tempo parcial, ampliándose tamén ambas as brechas na última onda da enquisa. Quinto, a brecha salarial axustada é maior nas empresas grandes que nas empresas pequenas. No último ano a brecha baixa nas empresas moi grandes de e 200 máis traballadores e sobe nas pequenas. Sexto, a brecha salarial diminúe coa antigüidade na empresa. Nos últimos datos continúa mellorando para as traballadoras con máis de catro anos de experiencia, pero aumenta para as mulleres con menos de anos 4 de experiencia. Por último, vemos como as brechas redúcense para as traballadoras con menor salario e para as que teñen maior salario, pero se amplifican para as mulleres con salarios situados no medio da distribución dos salarios.
Non atopamos unha explicación convincente de porque no 2018 ano aumentan as brechas de xero salariais por primeira vez desde que entramos no século XXI. Ata o 2014 ano produciuse un avance importante, reducíndose 1 / 3 da brecha salarial. Este avance quedou truncado en con 2018 un aumento da brecha salarial de xénero de aproximadamente do 5 %. É posible que este retroceso sexa un sinal de que o mercado laboral impide ás mulleres seguir avanzado no proceso de converxencia salarial ou simplemente trátase dun feito puntual nun momento, o 2018 ano , onde España acaba de recuperar o nivel de produción que alcanzaramos antes da picada inmobiliaria na Gran Recesión de . 2008 É moi probable que teñamos que esperar ata que se publiquen os microdatos da seguinte onda da EES 2022 , para entender mellor que é o que está a pasar.
En calquera caso, os resultados obtidos no artigo pon de relevo que en termos salariais as mulleres están nunha peor situación respecto dos homes con similares características observables. Esta é unha perda que talento e de crecemento potencial que ningunha economía se pode permitir, moito menos nun contexto de envellecemento da poboación no que nos atopamos.
Referencias
Amuedo-Dorantes, C. y S. De La Rica ( 2006 ), “The Role of Segregation and Pay Structure on the Gender Wage Gap: Evidence from Matched Employer-Employee Data for Spain”, The B.E. Journal of Economic Analysis & Policy, 5 , issue 1 , pág. 1 - 34
Anghel, B., Conde-Ruiz J.I. and I. Marra de Artíñano ( 2019 ), "Brechas Salariales de Género en España," Hacienda Pública Española / Review of Public Economics, IEF, vol. 229 ( 2 ), pág. 87 - 119 .
Conde-Ruiz, J.I. y I. Marra de Artíñano ( 2016 ), "Gender Gaps in the Spanish Labor Market," Studies on the Spanish Economy eee 2016 - 32 , FEDEA.
Conde-Ruiz, J.I., García, M y M. Yáñez ( 2019 ), "Does a “soft” board gender quotas policy work?," Applied Economic Analysis, Emerald Group Publishing Limited, vol. 28 ( 82 ), pages 46 - 68 , November.
De la Rica, S., Dolado, J. y Llorens, V. ( 2008 ), “Ceilings or Floors? Gender Wage Gaps by Education in Spain”, Journal of Population Economics, Vol. 21 ( 3 ), 751 - 776
De la Rica, S., Dolado, J. y Vegas-Sánchez, R. ( 2010 ), “Performance Pay and the Gender Wage Gap: Evidence from Spain”, CEPR Discussion Paper Series No. 7936 .
Quinto, A, Hospido, L y C. Sanz ( 2021 ), "The child penalty: evidence from Spain", SERIEs: Journal of the Spanish Economic Association, vol. 12 ( 4 ), pages 585 - 606 .
World Economic Forum, Global Gender Gap Report 2020 , available at: http://www 3 .weforum.org/docs/WEF_GGGR_ 2020 .pdf